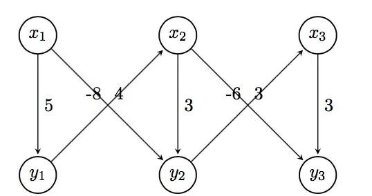
How can I make the weights to be positioned on the diagonals by using TikZ so that it is clear to which edge the weight belongs?
\begin{tikzpicture}[
> = stealth, % arrow head style
shorten > = 1pt, % don't touch arrow head to node
auto,
node distance = 3cm, % distance between nodes
semithick % line style
]
\tikzstyle{every state}=[
draw = black,
thick,
fill = white,
minimum size = 1mm
]
\node[state] (y1) {$y_1$};
\node[state] (y2) [right of=y1] {$y_2$};
\node[state] (y3) [right of=y2] {$y_3$};
\node[state] (x1) [above of=y1]{$x_1$};
\node[state] (x2) [above of=y2] {$x_2$};
\node[state] (x3) [above of=y3] {$x_3$};
\path[->] (x1) edge node {5} (y1);
\path[->] (y1) edge node {-8} (x2);
\path[->] (x1) edge node {4} (y2);
\path[->] (x2) edge node {3} (y2);
\path[->] (x2) edge node {3} (y3);
\path[->] (y2) edge node {-6} (x3);
\path[->] (x3) edge node {3} (y3);
\end{tikzpicture}





\documentclass[]{}...\usepackage[]{}\begin{document}code showing your problem\end{document}@user1299292 – Biki Teron Jul 09 '17 at 00:53