Just what I titled out, how to realize the following results?
Asked
Active
Viewed 57 times
1
-
It seems that it couldn't be completed by "split" or "align" environments. – M. Logic Aug 07 '17 at 05:09
-
Here is [https://tex.stackexchange.com/questions/167638/line-breaking-in-equation] – M. Logic Aug 07 '17 at 05:11
3 Answers
1
I suggest you load the amsmath package and use its bmatrix ("bracketed matrix") environment.
\documentclass{article}
\usepackage{amsmath,bm,newtxtext,newtxmath}
\begin{document}
\[
(\forall \bm{p})
\begin{bmatrix}
(\forall x) (\varphi(x,\bm{p}) \leftrightarrow \cdots ) \to \\
\bigl((\varphi(0,\bm{p}) \wedge (\varphi(x,\bm{p}) \to
\varphi(x+1,\bm{p}))) \to \cdots \bigr)
\end{bmatrix}
\]
\end{document}
Mico
- 506,678
0
You can use bmatrix from amsmath package for this. If you need also italic bold math, load the bm package and use \bm{..} instead of \mathbf{..}.
\documentclass[a4paper,10pt]{article}
\usepackage{amsmath}
\begin{document}
\[
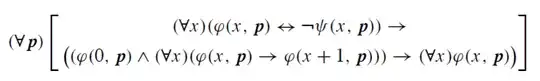
(\forall \mathbf{p})
\begin{bmatrix}
(\forall x) ( \varphi(x,\mathbf{p}) \leftrightarrow \neg\psi(x,\mathbf{p}))\rightarrow\\
\bigl((\varphi(0,\mathbf{p}) \wedge (\varphi(x,\mathbf{p})\to\varphi(x+1,\mathbf{p})))\to(\forall x)\varphi(x,\mathbf{p})\bigr)
\end{bmatrix}
\]
\end{document}
AboAmmar
- 46,352
- 4
- 58
- 127
0
In my opinion, gathered is the best choice. I also implemented new commands, because in this context the arrows should be binary operation symbols.
\documentclass{article}
\usepackage{newtxtext,newtxmath}
\usepackage{amsmath,bm}
\newcommand{\vp}{\bm{p}}
\newcommand{\liff}{\mathbin{\leftrightarrow}}
\newcommand{\limpl}{\mathbin{\rightarrow}}
\begin{document}
\[
(\forall \vp)
\left[
\begin{gathered}
(\forall x) (\varphi(x,\vp) \liff \dotsb ) \limpl {}\\
\bigl((\varphi(0,\vp) \land (\varphi(x,\vp) \limpl \varphi(x+1,\vp))) \to \dotsb \bigr)
\end{gathered}
\right]
\]
\end{document}
egreg
- 1,121,712



