I've been trying to write a simple system that should contain some greek letter. What I tried was this
\documentclass{article}
\usepackage{amsmath}
\usepackage{systeme}
\begin{document}
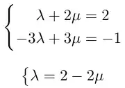
\[
\systeme*{ \lambda + 2\mu = 2, -3\lambda + 3\mu = -1 }
\]
\[
\systeme*{\lambda = 2 - 2\mu}
\]
\end{document}
But the output I get is this
I can't understand what I'm doing wrong, what I'd like to do is to use both lamba and mu in the equation of the first system and remove the "+" sign before lamba in the second system.

