I want to remove the white space of the first displayed equation only without interfering other equations that follow.
If I activate \abovedisplayskip=0pt\relax then the remaining displayed equations after \intertext also get affected.
I also tried the following but it does not work.
\documentclass[margin=0mm,varwidth]{standalone}
\usepackage{mathtools}
\usepackage{amsmath}
\usepackage{palatino}
\newdimen\temp
\temp=\abovedisplayskip
\begin{document}
\abovedisplayskip=0pt\relax
\begin{align}
\abovedisplayskip=\temp
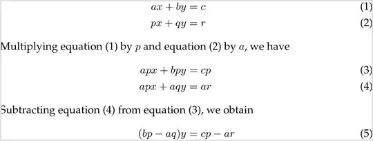
ax + by &= c\label{eqn:one}\\
px + qy &= r\label{eqn:two}\\
%
\intertext{Multiplying equation~\eqref{eqn:one} by $p$ and equation~\eqref{eqn:two} by $a$, we have}
apx + bpy &= cp\label{eqn:three}\\
apx + aqy &= ar\label{eqn:four}\\
%
\intertext{Subtracting equation~\eqref{eqn:four} from equation~\eqref{eqn:three}, we obtain}
(bp-aq)y &= cp-ar
\end{align}
\end{document}
How to avoid such interference?
Minimal Working Example
\documentclass[margin=0mm,varwidth]{standalone}
\usepackage{mathtools}
\usepackage{amsmath}
\usepackage{palatino}
\begin{document}
%\abovedisplayskip=0pt\relax
\begin{align}
ax + by &= c\label{eqn:one}\\
px + qy &= r\label{eqn:two}\\
%
\intertext{Multiplying equation~\eqref{eqn:one} by $p$ and equation~\eqref{eqn:two} by $a$, we have}
apx + bpy &= cp\label{eqn:three}\\
apx + aqy &= ar\label{eqn:four}\\
%
\intertext{Subtracting equation~\eqref{eqn:four} from equation~\eqref{eqn:three}, we obtain}
(bp-aq)y &= cp-ar
\end{align}
\end{document}



\vspace*{-\abovedisplayskip}\begin{align}? – Henri Menke Sep 12 '17 at 06:01align(and others) read the content as an argument and evaluate it delayed. – Henri Menke Sep 12 '17 at 06:02