When I use the "schulschriften_lin"-package, cancellation is no longer working (see MWE).
\documentclass{article}
\usepackage{amsmath}
\usepackage{cancel}
\usepackage{schulschriften_lin} % Lineaturen fuer Schulschriften
\begin{document}
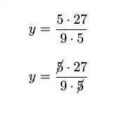
\[ y = \frac{5\cdot 27}{9 \cdot 5} \]
\[ y = \frac{\cancel{5} \cdot 27}{9 \cdot \cancel{5} } \]
\end{document}
Any suggestion to reactivate cancel?

eepicpackage gets loaded which redefines low-level commands related to\line. – Steven B. Segletes Sep 12 '17 at 11:13