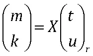
I want to write something like in the images by using
I also want to place a subscript in the right bottom part of the very right matrices. Thanks in advance.
I want to write something like in the images by using
I also want to place a subscript in the right bottom part of the very right matrices. Thanks in advance.
You should seek an introductory book on LaTeX and how to do things in math mode, in particular. See What are good learning resources for a LaTeX beginner?.
\documentclass{article}
\usepackage{amsmath}
\begin{document}
\[
\begin{pmatrix}
m\\k
\end{pmatrix}
= X
\begin{pmatrix}
t\\u
\end{pmatrix}
_r
\]
\end{document}
It is possible, depending on your notation, that you would prefer the look of \mathbf{X} in lieu of X.
And Bernard rightly suggests that the subscript could be tucked in closer to the vector, by employing the subscript as _{\mkern-5mu r} rather than simply as _r.
By popular demand, the alternative with stackengine:
\documentclass{article}
\usepackage{stackengine}
\begin{document}
\[ \parenVectorstack{m k}= X \parenVectorstack{t u}_r \]
\end{document}
stackengine.You're slacking off..... – JPi Sep 20 '17 at 01:02_{\!r}(or even_{\mkern-5mu r}, depending on the size of the parentheses? – Bernard Sep 20 '17 at 09:04\[...\]produces an unnumbered equation. For numbering, it may be, without any other changes, replaced with\begin{equation}...\end{equation}. – Steven B. Segletes Sep 20 '17 at 09:27