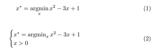
Thanks to another question, I have defined argmin operator. It works fine when I use it in equations except for when I apply it in cases environment. As you see, the x becomes an index instead of being underneath of argmin.
\documentclass{article}
\usepackage[T1]{fontenc}
\usepackage{amsmath,amssymb}
\DeclareMathOperator*{\argmin}{argmin}
\begin{document}
\begin{align}
x^*=\argmin_x x^2-3x+1
\end{align}
\begin{align}
\begin{cases}
x^*=\argmin_x x^2-3x+1 \\
x>0
\end{cases}
\end{align}
\end{document}


equationthanalignfor a single-equation math display. It makes syntactically sense. – Werner Oct 20 '17 at 00:47