Is there a command that adapts automatically the size of the parentheses at the terms of the equations?
For example, in my ocasion I used \Big( but it's seems not enough.
I think could be more bigger.
Is there a command that adapts automatically the size of the parentheses at the terms of the equations?
For example, in my ocasion I used \Big( but it's seems not enough.
I think could be more bigger.
Use \left and \right to wrap brackets. In your case you'd write
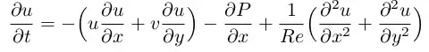
\frac{\partial u}{\partial t} = - \left( u \frac{\partial u}{\partial x} + ... \right) + ...
where I haven't typed out your full equation but I hope you can see where it's going from here.
There's a difference in spacing between left and right delimiters. In general you obtain a better result choosing yourself the delimiters size, so you should use pairs \Bigl/\Bigr and the like. There 4 sizes for manual adjustment: \bigl/\bigr, \Bigl/\Bigr, \biggl/\biggr, \Biggl/\Biggr. Here is an example, in which I also loaded the esdiff package, which simplifies the typing of derivatives, partial or not:
\documentclass{article}
\usepackage[utf8]{inputenc}
\usepackage[T1]{fontenc}
\usepackage{lmodern}
\usepackage{esdiff}
\begin{document}
\[ \diffp{u}{t} = -\biggl(u\diffp{u}{x} + v\diffp{u}{y}\biggr)-\diffp{P}{x} + \frac{1}{Re}\Bigl(\diffp[2]{u}{x} +\diffp[2]{u}{y} \Bigr)\]%
\end{document}
\left(and\right)– koleygr Oct 26 '17 at 23:35\bigl...\bigr,\Bigl...\Bigr,\biggl...\biggr,\Biggl...\Biggr. – Bernard Oct 27 '17 at 00:01