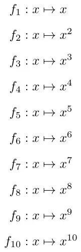
I guess an example is the quickest way to understand my problem: Consider the following enumerate environment using package enumerate
\documentclass{article}
\usepackage{enumerate}
\begin{document}
\begin{enumerate}[$f_1:x\mapsto$]
\item $x$
\item $x^2$
\item $x^3$
\item $x^4$
\item $x^5$
\item $x^6$
\item $x^7$
\item $x^8$
\item $x^9$
\item $x^{10}$
\end{enumerate}
\end{document}
And I obtain $f_10$ which is not $f_{10}$.
However if I write
\begin{enumerate}[$f_{1}:x\mapsto$]
\item $x$
\item $x^2$
\end{enumerate}
Then the "1" is not recognized as the incremented element. (I have a warning telling me the counter will not be printed, but I am not sure how to change that.)
MWE



shortlabelsoption in a case like this… – GuM Nov 08 '17 at 00:54