I thought I'd come across a solution for my question but surprisingly (to me) I did not. I hoped an example would have been in https://en.wikibooks.org/wiki/LaTeX/Advanced_Mathematics but maybe it needs updating...
Anyway, borrowing from Werner's solution, Sub-numbering equations within array I tried to get the very last result (which I kind of did, but the spacing is horrible).
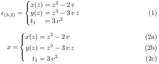
How do I attain the last result in a way that looks good? I note that the order of loading packages was important, i.e. empheq then cases
\documentclass{article}
\usepackage{empheq}
\usepackage{cases}% http://ctan.org/pkg/cases
\begin{document}
\begin{subnumcases}{x=}
a + b \\
c + d \\
e + f
\end{subnumcases}
\begin{equation}
\epsilon_{(3,2)} = \left\{ \begin{array}{lcr}
x(z) &=& z^2 - 2\,v \\
y(z) &=& z^3 - 3\,v\,z \\
t_1 &=& 3\,v^2
\end{array} \right.
\end{equation}
\begin{subnumcases}{\epsilon_{(2,3)}=}
x(z) = z^2 - 2\,v \label{eq1asfsafs} \\
y(z) = z^3 - 3\,v\,z \label{eqjfdklsafjasfkasjf}\\
t_1 = 3\,v^2 \label{ejfklasjfkldsjafkl}
\end{subnumcases}
\begin{subequations}
\label{fdjfdsadadasad}
\begin{empheq}[left={x=}\empheqlbrace]{align}
x(z) &=& z^2 - 2\,v \label{eq1asfsafs} \\
y(z) &=& z^3 - 3\,v\,z \label{eqjfdklsafjasfkasjf}\\
t_1 &=& 3\,v^2 \label{ejfklasjfkldsjafkl}
\end{empheq}
\end{subequations}
\end{document}
I've been using lualatex if that matters...


&=&with&=-- the former is appropriate for performing alignment inarraysettings, whereas the latter is foralignsettings. A separate suggestion: get rid of all instances of\,-- they aren't needed. – Mico Nov 21 '17 at 03:02