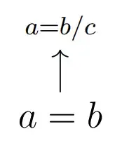
I'm wondering if there is a simple way to adding avertical arrow and a math formula over equal sign. The arrow's height should be changed also in a confortable way.
On Tex Stack Exchange I found only how add text over equal sign.
Thank you so much for your willingness.
EDIT: the goal is to write equations over each equal signs which occur in a chain of relationships; a=b=c=d=e=f...




