I want to align the below equations at the start and at each equal sign. I have already looked at some previous questions and used their suggestions. However when I tried it in the below code, the some of the equal signs are not exactly aligned with each other. I have no idea why that is the case.
\documentclass[a4paper, 11pt, letterpaper]{article}
\usepackage{fullpage}
\usepackage{mathtools,amsthm}
\begin{document}
\begin{alignat*}{4}
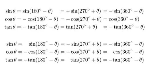
&\sin \theta &= \sin (180 ^{\circ}-\theta ) &= -\sin (270 ^{\circ} + \theta) &= - \sin (360 ^{\circ} - \theta)\\
&\cos \theta &= -\cos (180 ^{\circ}-\theta ) &= -\cos (270 ^{\circ} + \theta) &= \cos (360 ^{\circ} - \theta)\\
&\tan \theta &= -\tan (180 ^{\circ}-\theta ) &= \tan (270 ^{\circ} + \theta) &= -\tan (360 ^{\circ} - \theta)
\end{alignat*}
\end{document}




alignatworks in AMS package – Werner Feb 07 '18 at 01:38