How am I supposed to write an overarrow between two symbols in formula?
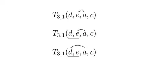
I am currently doing a report with relational algebra and normalization for databases, and what I need to do is representing a dependency between to elements in the same table, something like this:
Note that this arrow could be from a to d too, or they could be multiples ones in the same expression, like a to e and a to d and c to e.
Is there a way to do this?




texample.comthat looks very similar: http://www.texample.net/tikz/examples/oxidation-and-reduction/ – Dr. Manuel Kuehner Feb 13 '18 at 22:43