I found it interesting to represent a tensor with the notation normally used by my professor. Looking for respect to the mathematical symbol I found this code from this post, very interesting.
I would like to insert this command below,I modified the code but the result with '\underline' is not pleasant
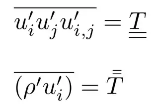
\newcommand*{\rttensor}[1]{\underline{\underline{#1}}}
\overline{u'_{i}u'_{j}u'_{i,j}} = \rttensor{T}
but the result is not satisfactory. The command with \bar is aesthetically superior, but I can not find a way to put it underneath
\newcommand*{\rttensortwo}[1]{\bar{\bar{#1}}}
\overline{(\rho'u'_{i})} = \rttensortwo{T}
I think another possible solution could be this, but I have some doubts about it and I have to look more carefully.
others have had experience with this?
MWE
\documentclass{article}
\usepackage{amsmath}
\newcommand*{\rttensor}[1]{\underline{\underline{#1}}}
\newcommand*{\rttensortwo}[1]{\bar{\bar{#1}}}
\begin{document}
$\overline{u'_{i}u'_{j}u'_{i,j}} = \rttensor{T}$
\par\bigskip
$\overline{(\rho'u'_{i})} = \rttensortwo{T}$
\end{document}
I found a problem with the position of the double bar in a certain type of tensor
\documentclass{article}
\usepackage{amsmath}
\usepackage{stackengine}
\newcommand*{\barbI}[1]{\stackunder[1.0pt]{$#1$}{\rule{1.0ex}{0.095ex}}} %% One bar
\newcommand*{\barbII}[1]{\barbI{\barbI{#1}}}%% double bar
\newcommand{\TRII}{\ensuremath{ \barbII{T_{R}}}} %% Tensore di Reynols
\begin{document}
$\TRII$ \quad\text{Tensore di Reynolds}\\
$\barbI{T}$\\
\end{document}
-------------------UPDATE-----------------
\documentclass{article}
\usepackage{amsmath}
\usepackage{stackengine}
\newcommand*{\barbI}[1]{\stackunder[1.0pt]{$#1$}{\rule{0.9ex}{0.095ex}}}
\newcommand*{\barbII}[1]{\barbI{\barbI{#1}}}
\newcommand{\TRII}{\ensuremath{\barbII{\emph{T}}_{\!R}}}
\begin{document}
\begin{enumerate}
\item $\barbII{T}_{R}$
\item $ \TRII $ < ----- Optimal Solution
\end{enumerate}
\end{document}




{\bar{\bar{#1}}}syntax embodied in your\rttensortwodefinition only seems to properly align the bars with Lualatex, but not with pdflatex nor xelatex. – Steven B. Segletes Feb 26 '18 at 12:07