I was trying some fonts from this post which-opentype-math-fonts-are-available
I downloaded and installed STIX two

From http://stixfonts.org/ and have been using it for few days. It looks really nice. Except sometimes some of math letters in fractions hit each others.
Compare this image (will show MWE below), comparing STIX and STIX two and the default latex font. Notice how the denominator is touching the math in the line below it

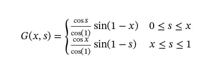
Here is MWE
\documentclass[11pt]{article}
\usepackage{amsmath}
\usepackage{unicode-math}
\setmainfont{STIX Two Text}
\setmathfont{STIX Two Math}
%\setmainfont{XITS}
%\setmathfont{XITS Math}
\begin{document}
\[
G(x,s) = \left\{
\begin{array}[c]{ccc}%
\frac{\cos s}{\cos(1) }\sin(1-x) & & 0\leq s\leq x\\
\frac{\cos x}{\cos(1) }\sin(1-s) & & x\leq s\leq 1
\end{array}
\right.
\]
\end{document}
Compiled using lualatex foo.tex

This below is the default Latex font:

The question is, is there is something one can do to fix this? Is this a bug in the font? I find it harder to read when the letters are touching each others. Otherwise, it is a nice font. I think they put too much space between the fraction line and the denominator. With the default font, the spacing is much better.
To install the fonts, I unzipped the file from the above link, and copied the 3 font folders to ~./fonts folder. That is all. This is on cygwin. On windows or mac, the fonts need to be moved to wherever the opentype fonts folder is.




\left( 1-x\right)is bad input and would be better as(1-x)– David Carlisle Apr 14 '18 at 09:51\left(x, s\right)input... – Apr 14 '18 at 11:26\left(and\right)but the output still looks the same. – Nasser Apr 14 '18 at 16:35