I have the code
\documentclass[12pt]{article}
\usepackage[utf8]{inputenc}
\usepackage{amsmath, amssymb, amsthm}
\begin{document}
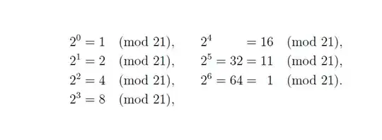
\begin{alignat*}{3}
2^0 &= 1 \pmod{21}, &\qquad 2^4 &\qquad &= 16 \pmod{21},\\
2^1 &= 2 \pmod{21}, &\qquad 2^5 &= 32 &= 11 \pmod{21},\\
2^2 &= 4 \pmod{21}, &\qquad 2^6 &= 64 &= 1 \pmod{21}.\\
2^3 &= 8 \pmod{21}, &\qquad &\qquad &\qquad
\end{alignat*}
\end{document}
but it's producing this:
How do I get those equals on the right to be lined up?



alignatcommand should be a 4? I'll test that out. – Pro Q May 03 '18 at 05:34&characters add 1 and divide that by 2 (rounding up). – TeXnician May 03 '18 at 05:35