5

What can I do to the square root symbols have the same size.

enter image description here

Torbjørn T.
  • 206,688
Slayer147
  • 197

1 Answers1

5

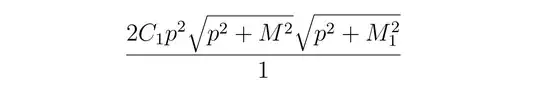
A quick fix:

\[
\frac{2C_1 p^2 \sqrt{p^2+M_{}^2}\sqrt{p^2+M_1^2}}{1}
\]

enter image description here

The second square root symbol is higher because of the M_1^2 inside it has both a subscript and a super script. In this case, the super script moves upward a little bit to leave room for the subscript. The simple solution is to add a surplus _{} for the first M^2 inside the first root. If you need the exact same height, then use M_{\phantom{1}}^2.

AboAmmar
  • 46,352
  • 4
  • 58
  • 127