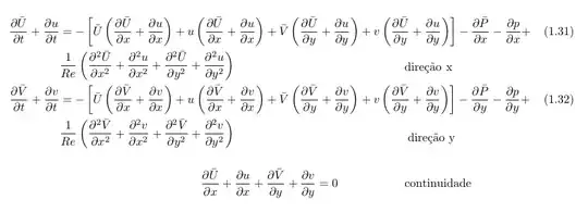
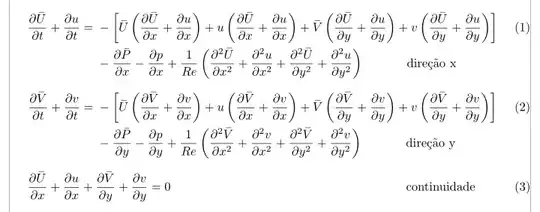
How to align the equations that the result be like the image?
\newcommand{\barU}{\bar{U}}
\newcommand{\barV}{\bar{V}}
\usepackage{amsmath}
\begin{align}
\label{eq:mx2}
\frac{\partial \barU}{\partial t} + \frac{\partial u}{\partial t} &= - \left[\barU\left(\frac{\partial \barU}{\partial x}
+ \frac{\partial u}{\partial x}\right)
+ u\left(\frac{\partial \barU}{\partial x} + \frac{\partial u}{\partial x}\right) + \barV\left(\frac{\partial \barU}{\partial y}
+ \frac{\partial u}{\partial y}
\right) + v\left(\frac{\partial \barU}{\partial y} + \frac{\partial u}{\partial y}\right)\right] - \frac{\partial \barP}{\partial x}
- \frac{\partial p}{\partial x}
+ \\
&\frac{1}{Re}\left(\frac{\partial^2\barU}{\partial x^2} + \frac{\partial^2u}{\partial x^2} + \frac{\partial^2 \barU}{\partial y^2} +
\frac{\partial^2u}{\partial y^2}\right) \nonumber
\hspace{8ex}
\mbox{direção x} \\
%------------------------
\label{eq:my2}
\frac{\partial \barV}{\partial t} + \frac{\partial v}{\partial t} &= - \left[\barU\left(\frac{\partial \barV}{\partial x} +
\frac{\partial v}{\partial x}\right)
+ u\left(\frac{\partial \barV}{\partial x} + \frac{\partial v}{\partial x}\right) + \barV\left(\frac{\partial \barV}{\partial y}
+ \frac{\partial v}{\partial y}
\right) + v\left(\frac{\partial \barV}{\partial y} + \frac{\partial v}{\partial y}\right)\right] - \frac{\partial \barP}{\partial y}
- \frac{\partial p}{\partial y} + \\
&\frac{1}{Re}\left(\frac{\partial^2\barV}{\partial x^2} + \frac{\partial^2v}{\partial x^2} + \frac{\partial^2\barV}{\partial y^2}
+ \frac{\partial^2v}{\partial y^2}\right) \nonumber
\hspace{8ex}
\mbox{direção y} \\
%-------------------------
\frac{\partial \barU}{\partial x} + \frac{\partial u}{\partial x} + \frac{\partial \barV}{\partial y} + \frac{\partial v}{\partial y} = 0
\hspace{18.8ex}
&\hspace{8ex}
\mbox{continuidade}
\end{align}

