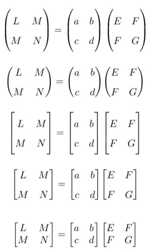
I am getting the braces (or parenthesis, brackets) around a matrix too big. As you can see in the
I am getting a bit satisfying result in 2nd and 4th cases using \Bigg(\Bigg) commands. How can I get those behaviours using matrix-like environments? 'singlespace' environment does tend to minimise the spaces too much. I am not also using \renewcommand{\arraystretch}{0.6}.
Thanks in advance.
%Preamble:
\documentclass[10pt,a4paper]{report}
\usepackage{amsmath,amsfonts,amssymb,amsthm,epsfig,epstopdf,titling,url,array}
%\usepackage{amsart}
\usepackage{interval}
\usepackage{geometry}
\usepackage{pgf,tikz}
\usetikzlibrary{arrows}
\usepackage{mathrsfs}
\usepackage[symbol]{footmisc}
\usepackage{wrapfig}
\usepackage{graphicx}
\usepackage[inline]{enumitem}
\usepackage{commath}
\usepackage{mathtools}
\usepackage{scrextend}
\usepackage{fancyvrb}
\usepackage{setspace}
%\usepackage{mathabx}
\usepackage{upgreek}
\usepackage{bm}
%\usepackage{braket}
\usepackage{hyperref}
\hypersetup{
colorlinks=true, %set true if you want colored links
linktoc=all, %set to all if you want both sections and subsections linked
linkcolor=black, %choose some color if you want links to stand out
}
\renewcommand{\a}{\alpha}
\renewcommand{\b}{\beta}
\newcommand{\G}{\mathrm{\upgamma}}
\renewcommand{\t}{\tau}
\renewcommand{\d}{\delta}
\newcommand{\E}{\epsilon}
\renewcommand{\th}{\theta}
\renewcommand{\l}{\lambda}
\renewcommand{\r}{\rho}
\newcommand{\Ll}{\Lambda}
\renewcommand{\k}{\kappa}
\newcommand{\K}{\mathrm{K}}
\newcommand{\R}{\mathbb{R}}
\newcommand{\N}{\mathbb{N}}
\newcommand{\Z}{\mathbb{Z}}
\newcommand{\inv}[1]{{#1}^{-1}}
\newcommand{\ddx}[1]{\frac{d}{d{#1}}}
\newcommand{\dydx}[2]{\frac{d{#1}}{d{#2}}}
\newcommand{\dlx}[1]{\frac{\partial}{\partial{#1}}}
\newcommand{\dldx}[2]{\frac{\partial{#1}}{\partial{#2}}}
\newcommand{\comb}[2]{\begin{psmallmatrix}{#1}\\{#2}\end{psmallmatrix}}
\newcommand{\clopen}[1]{\ensuremath{\left[#1\right)}}
\newcommand{\openclo}[1]{\ensuremath{\left)#1\right]}}
\newcommand*{\rom}[1]{\expandafter\@slowromancap\romannumeral #1@}
\newcommand{\st}{\text{such that}}
\newcommand{\conts}{\text{continuous}}
\newcommand{\fn}{\text{function}}
\newcommand{\fns}{\text{functions}}
\newcommand{\diff}{\text{differentiable}}
\newcommand{\resp}{\text{respectively}}
\newcommand{\nbhd}{\text{neighbourhood}}
\newcommand{\coeff}{\text{coefficient}}
\newcommand{\pmtz}{\text{parametrization}}
\newcommand{\rpmtz}{\text{reparametrization}}
\newcommand{\Iff}{\text{if and only if}}
\newcommand{\ssf}{\text{smooth surface}}
\newcommand{\seq}{\text{sequence}}
\newcommand{\unsp}{\text{unit speed}}
\renewcommand*{\proofname}{\nopunct\normalfont\textbf{Proof:}}
\DeclareMathOperator{\image}{Im}
\DeclareMathOperator{\trace}{tr}
\DeclareMathOperator{\divergence}{div}
\DeclareMathOperator{\diag}{diag}
\DeclarePairedDelimiterX\braket[2]{\langle}{\rangle}{#1 , #2}
\theoremstyle{plain}
\newtheorem{thm}{Theorem}[section]
\newtheorem{lem}[thm]{Lemma}
\newtheorem{prop}[thm]{Proposition}
\newtheorem*{cor}{Corollary}
\theoremstyle{definition}
\newtheorem{defn}{Definition}[section]
\newtheorem{conj}{Conjecture}[section]
\newtheorem*{exmp}{Examples}
\newtheorem*{consq}{Consequences}
\newtheorem*{motivation}{Motivation}
\theoremstyle{remark}
\newtheorem*{rem}{Remark}
\newtheorem*{note}{Note}
\newtheorem*{rems}{Remarks}
\newtheorem*{prf}{Proof}
\newtheorem*{prfclaim}{Proof of claim}
\newtheorem*{exc}{Exercises}
\newtheorem*{rec}{Recall}
\newtheorem*{qn}{Question}
\newtheorem*{ans}{Answer}
\newtheorem*{claim}{Claim}
\renewcommand{\baselinestretch}{1.6}
%\setlength{\parskip}{1em}
\parindent 0ex
%The misbehaving part
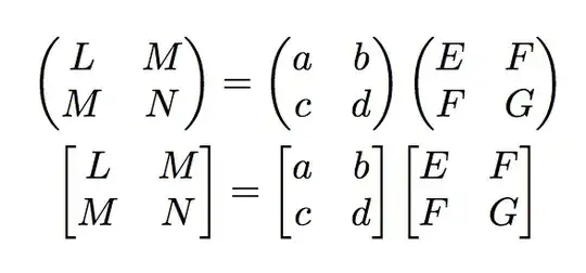
\begin{equation*}
\begin{pmatrix} L&M\\M&N \end{pmatrix}=\begin{pmatrix} a&b\\c&d \end{pmatrix}\begin{pmatrix} E&F\\F&G \end{pmatrix}
\end{equation*}
\begin{equation*}
\Bigg(\begin{matrix} L&M\\M&N \end{matrix}\Bigg)=\Bigg(\begin{matrix} a&b\\c&d \end{matrix}\Bigg)\Bigg(\begin{matrix} E&F\\F&G \end{matrix}\Bigg)
\end{equation*}
\begin{equation*}
\begin{bmatrix} L&M\\M&N \end{bmatrix}=\begin{bmatrix} a&b\\c&d \end{bmatrix}\begin{bmatrix} E&F\\F&G \end{bmatrix}
\end{equation*}
\begin{equation*}
\Bigg[\begin{matrix} L&M\\M&N \end{matrix}\Bigg]=\Bigg[\begin{matrix} a&b\\c&d \end{matrix}\Bigg]\Bigg[\begin{matrix} E&F\\F&G \end{matrix}\Bigg]
\end{equation*}
\begin{singlespace}
\begin{equation*}
\begin{bmatrix} L&M\\M&N \end{bmatrix}=\begin{bmatrix} a&b\\c&d \end{bmatrix}\begin{bmatrix} E&F\\F&G \end{bmatrix}
\end{equation*}
\end{singlespace}



\usepackage{setspace}and\onehalfspacingor similar declaration. – egreg May 28 '18 at 19:57\doublespacingor similar. – egreg May 28 '18 at 20:01\doublespacingis not there. – Subhajit Paul May 28 '18 at 20:02\documentclass[10pt,a4paper]{report} \usepackage{amsmath,amsfonts,amssymb,amsthm,epsfig,epstopdf,titling,url,array} \usepackage{interval} \usepackage{geometry} \usepackage{pgf,tikz} \usetikzlibrary{arrows} \usepackage{mathrsfs} \usepackage[symbol]{footmisc} \usepackage{wrapfig} \usepackage{graphicx} \usepackage[inline]{enumitem} \usepackage{commath} \usepackage{mathtools}– Subhajit Paul May 28 '18 at 20:02singlespaceenvironment the spacing is right, something is issuing\doublespacing(maybe the class you're using). Add\renewcommand{\arraystretch}{0.6}before\begin{document}. – egreg May 28 '18 at 20:05\usepackage{scrextend} \usepackage{fancyvrb} \usepackage{setspace} \usepackage{upgreek} \usepackage{bm} \usepackage{hyperref} \hypersetup{ colorlinks=true, linktoc=all, subsections linked linkcolor=black, stand out }– Subhajit Paul May 28 '18 at 20:05\renewcommand{\arraystretch}{0.6}does not solve the issue. It only makes the rows closer. Does not do anything with the braces. – Subhajit Paul May 28 '18 at 20:07\renewcommand{\baselinestretch}{1.6}, which is the wrong way to set doublespacing. Use\doublespacingand the command I suggested. Also remove\usepackage{commath}(one of the buggiest packages I know). – egreg May 28 '18 at 20:29