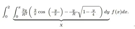
I would like to create something like this
.
Specifically my question is about how those curly braces below are drawn and labelled.
I would like to create something like this
.
Specifically my question is about how those curly braces below are drawn and labelled.
equation is not complete (since you not provide code mwe), but finish it should not be a problem to you
\documentclass{article}
\begin{document}
\[
\int\underbrace{\int_0^\pi \frac{2y}{R^2}\left( ... \sqrt{1-\frac{y}{4}}\right)dy}_{\mathcal{A}} dx
\]
\end{document}
\underbracemacro? – Mico Jun 11 '18 at 08:12