How to creat a curved arrow from a character to other characters inside math environment?
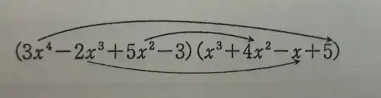
Like below picture:

Asked
Active
Viewed 986 times
0
Kanegusa199
- 121
-
1What's your definition of "easy"? And please help us help you by posting a minimal compilable example of your math setup with this equation. – TeXnician Jul 01 '18 at 08:29
-
I have no solution for it. This from a math book that I'm reading – Kanegusa199 Jul 01 '18 at 08:43
1 Answers
2
It's very simple with pstricks: create nodes at the relevant places, and connect them with \ncarc. Package auto-pst-pdf defines the postscript environment and enables pstricks code to be compiled with pdflatex instead of the chain latex ->dvips -> pstopdf. Alternatively you can compile with xelatex.
\documentclass[12pt, svgnames]{article}
\usepackage{fourier}
\usepackage{mathtools}
\usepackage{pst-node, auto-pst-pdf}
\begin{document}
\[ \begin{postscript}\bigl(\rnode{f4}{3x^4} - \pnode[1.5ex, -0.5ex]{f3}2x^3 + \rnode{f2}{5x^2}-3\bigr)\bigl(x^3 + 4 \rnode{g2}{x^2}-\pnode[0.5ex, -0.3ex]{g1}{x} + \rnode{5}{5}\bigr)
\psset{arrows=->, nodesep=1pt, arcangle=30, linecolor=LightSteelBlue, arrowinset=0.12, linejoin=1}
\ncarc[arcangleB=35]{f4}{5} \ncarc{f2}{g2}
\ncarc[arcangle=-30,]{f3}{g1}
\end{postscript} \]%
\end{document}
Bernard
- 271,350
-
-
@egreg: 1) Because when I posted, no duplicate thread was marked, and 2) albeit I could guess there already were answers (including some from myself) on such questions, I don't know where they are. – Bernard Jul 03 '18 at 08:21
