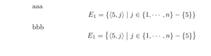
I am new to Latex and am giving it a try on a homework assignment. My professor's notes (which are written in Latex) include a formula that looks like this:
When I try and recreate this formula using Latex, my version looks like this:
There are a few differences between these two renderings, but the one that is bothering me most is that my professor's pipe character (|) has a comfortable amount of horizontal white space on either side; my pipe has very little space surrounding it.
How can I make my pipe character look like my professor's? Is he using a different character than I am?
Here is the code I am using:
\[
E_1 = \big\{ \langle 5, j \rangle \big| j \in \{1, \cdots, n \} - \{ 5 \} \big\}
\]




\midis the command for|used as an infix operator. Note alsobig\{should be\bigl\{and\big\}should be\bigr\}or you lose the open/close spacing on the delimiters – David Carlisle Aug 31 '18 at 12:09\midwas what I was looking for! Thanks! If you add your comment as an answer, I'll accept. – Nathan Friend Aug 31 '18 at 12:18\bigs to\bigland\bigr, but didn't notice a difference. – Nathan Friend Aug 31 '18 at 12:19\mathtoolspackage? If not, you might want to have a look to this question and to this. – GuM Aug 31 '18 at 12:38