I am trying to put vdots at centre of each column in alignat, but I can't. This is my code.
\documentclass[12pt,a4paper]{article}
\usepackage{amsmath}
\usepackage{fourier}
\usepackage[left=2cm,right=2cm,top=2cm,bottom=2cm]{geometry}
\usepackage{mathtools}
\DeclarePairedDelimiter\abs{\lvert}{\rvert}
\begin{document}
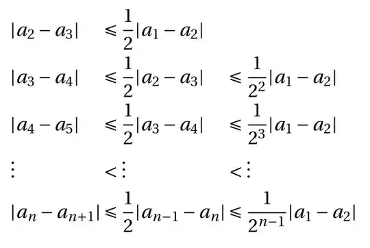
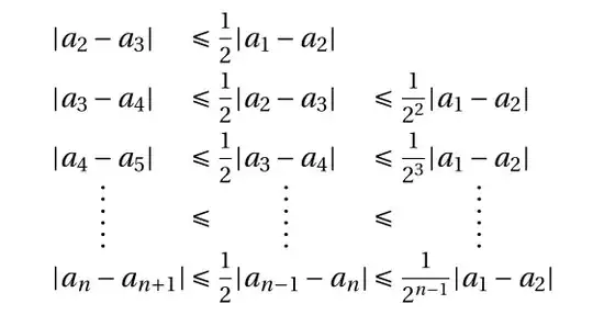
\begin{alignat*}{3}
& \abs{a_2 - a_3} && \leqslant \dfrac{1}{ 2}|a_1 - a_2|\\
& \abs{a_3 - a_4} && \leqslant \dfrac{1}{ 2}\abs{a_2 - a_3} && \leqslant \dfrac{1}{ 2^2}|a_1 - a_2|\\
& \abs{a_4 - a_5} && \leqslant \dfrac{1}{ 2}\abs{a_3 - a_4} && \leqslant \dfrac{1}{ 2^3}|a_1 - a_2|\\
& \vdots && <\vdots && < \vdots \\
&\abs*{a_{n} -a_{n+1}} && \leqslant \dfrac{1}{ 2}\abs{a_{n-1} - a_n} && \leqslant \dfrac{1}{ 2^{n-1}}|a_1 - a_2|
\end{alignat*}
\end{document}
How can I put vdots at centre of each column in this alignat?



\vdotswithin{\leqslant}frommathtoolsalready that does the exact same thing? – Ruixi Zhang Sep 04 '18 at 12:07mathtoolsdocumentation demonstrates an equation with&\vdotswithin{+} &&&& \vdotswithin{+}. So I think one can use more than one vdots per row. But if you are referring to the use of\cto{<arg>}{\vdots\vdots}, then I’d agree. But this usage is not present in this example. – Ruixi Zhang Sep 04 '18 at 13:18