\documentclass{article}
\usepackage{setspace}
\usepackage{amsmath}
\usepackage{amsfonts}
\begin{document
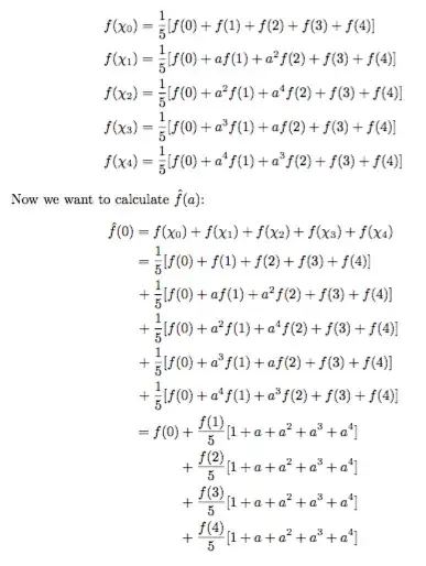
\doublespacing{$f(\chi_0)=\frac{1}{5}[f(0)+f(1)+f(2)+f(3)+f(4)]$\\
$f(\chi_1)=\frac{1}{5}[f(0)+af(1)+a^2f(2)+f(3)+f(4)]$\\
$f(\chi_2)=\frac{1}{5}[f(0)+a^2f(1)+a^4f(2)+f(3)+f(4)]$\\
$f(\chi_3)=\frac{1}{5}[f(0)+a^3f(1)+af(2)+f(3)+f(4)]$\\
$f(\chi_4)=\frac{1}{5}[f(0)+a^4f(1)+a^3f(2)+f(3)+f(4)]$\\}
\smallskip\\
\text{Now we want to calculate $\hat f(a)$ hence:}\\
\begin{align}
\hat f(0)&=f(\chi_0)+f(\chi_1)+f(\chi_2)+f(\chi_3)+f(\chi_4)\\
&=\frac{1}{5}[f(0)+f(1)+f(2)+f(3)+f(4)]+\frac{1}{5}[f(0)+af(1)+a^2f(2)+f(3)+f(4)]+\frac{1}{5}[f(0)+a^2f(1)+a^4f(2)+f(3)+f(4)]+\frac{1}{5}[f(0)+a^3f(1)+af(2)+f(3)+f(4)]+\frac{1}{5}[f(0)+a^4f(1)+a^3f(2)+f(3)+f(4)]
&=f(0)+\frac{f(1)}{5}[1+a+a^2+a^3+a^4]+\frac{f(2)}{5}[1+a+a^2+a^3+a^4]+\frac{f(3)}{5}[1+a+a^2+a^3+a^4]+\frac{f(4)}{5}[1+a+a^2+a^3+a^4]
\end{align}
I tried using this Aligning a set of equations to help me but I cant seem to figure out what's wrong. help would be appreciated.
I forgot to mention I want:
f(\chi_2), f(\chi_3) and f(\chi_4)
to appear on the next line and also want to remove the equation numbers at the RHS


\end{document}.There are some parenthesis placed wrongly. For instance, the\begin{document}isn't closed. And one placed after \doublespacing which isn't needed. If I compile the code, the functions are aligned to the left. Maybe you can add\noindentbefore the equations, if you want to prevent indention to happen on the first one.\begin{align*}, with an asterix, will show the equations without numbers. There is a lot of information available on the web about amsmath to help you with your whishes. – JohnShape Nov 14 '18 at 11:02