-6

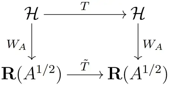
I hope to draw the following diagram

enter image description here

Thanks a lot for your help.

Bernard
  • 271,350
Schüler
  • 886
  • 5
    If you look at the tikz-cd manual you will find it straightforward to draw this. –  Jan 10 '19 at 18:43
  • I hope that you can help me because I'm biginner in Latex – Schüler Jan 10 '19 at 18:46
  • 1
    Can you please edit the title of your question to reflect what your question is about? In it's current state, it will help no future user who might have the same problem simply because nobody will be able to search for it. – samcarter_is_at_topanswers.xyz Jan 10 '19 at 19:57
  • @samcarter I hope that you suggest me a title because my goal is to draw this diagram which is related to a mathematical problem. – Schüler Jan 10 '19 at 20:01
  • 1
    @Schüler I have no idea what your diagram shows, so I'm not a good source of title suggestions -- but you must surly know what your question is about? – samcarter_is_at_topanswers.xyz Jan 10 '19 at 20:04
  • Of course the goal of my question is to draw the above diagram because I want to add it in my presentation. – Schüler Jan 10 '19 at 20:08
  • 3
    I guess samcarter was suggesting to make the title more relevant. For example "How do I draw commutative diagrams" or even better if this is a special kind of diagram with a name: "How do I draw Hallmackenreuther diagrams". In its current form the title may be correct, but not really helpful for other people with a similar problem. Of course you could also include a more detailed description in the question body. – moewe Jan 10 '19 at 21:28
  • 1
    Everybody is forgetting the tilde in the answers below... lol of course it does not matter... :-) – Sigur Jan 10 '19 at 21:33

3 Answers3

8

The purpose of this site is to help you when you got stuck trying something, not to convert screen shots into LaTeX code.

\documentclass{article}
\usepackage{tikz-cd}
\begin{document}
\[\begin{tikzcd}
\mathcal{H} \arrow[d,"W_A" swap] \arrow[r,"T"]& \mathcal{H} \arrow[d,"W_A"] \\
\mathbf{R}(A^{1/2}) \arrow[r,"T" swap] & \mathbf{R}(A^{1/2})\\
\end{tikzcd}\]
\end{document}

enter image description here

5

Similar output of the great user @marmot using an alternative xy package from this guide XY-pic.

enter image description here

\documentclass[a4paper,12pt]{article}
\usepackage[all,cmtip]{xy}
\begin{document}
\xymatrix{
\mathcal{H} \ar[d]_{W_A} \ar[r]^T
& \mathcal{H} \ar[d]^{W_A}\\
\mathbf{R}(A^{1/2}) \ar[r]^{\tilde T} & \mathbf{R}(A^{1/2})}
\end{document}
Sebastiano
  • 54,118
4

Obligatory tikzcd editor answer: https://tikzcd.yichuanshen.de/

Click the screenshot to open in the editor.

enter image description here

Generated code by clicking the {} button (not an MWE):

\begin{tikzcd}
\mathcal{H} \arrow[rr, "T"] \arrow[d, "W_A"'] &  & \mathcal{H} \arrow[d, "W_A"] \\
\mathbf{R}(A^{1/2}) \arrow[rr, "\tilde{T}"] &  & \mathbf{R}(A^{1/2})
\end{tikzcd}
Henri Menke
  • 109,596