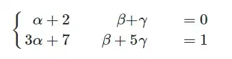
I'm trying to line up the variables of systems of equations. The following code:
$$\left\\{
\begin{aligned}
&\alpha + 2&\beta + &\gamma & = 0 \\\\
3&\alpha + 7&\beta + 5&\gamma & = 1
\end{aligned}
\right.$$
produces the following image:
I want the Greek letters and the math symbols to be aligned, with appropriate spacing in between coefficients. I've tried using \begin{aligned} \end{aligned} and \begin{array}{ll} \end{array}{ll} as well, but they also don't provide the desired outcome.
Would anyone be kind enough to help me out? Thank you.




systeme: https://www.ctan.org/pkg/systeme . – projetmbc Feb 21 '19 at 15:20\[…\]preferable to$$? – Werner Feb 21 '19 at 16:33