With this code
\documentclass[a4paper,12pt]{article}
\usepackage{mathtools, mathrsfs}
%% Code for '\widebar' macro is courtesy of
%% https://tex.stackexchange.com/a/60253
\makeatletter
\let\save@mathaccent\mathaccent
\newcommand*\if@single[3]{%
\setbox0\hbox{${\mathaccent"0362{#1}}^H$}%
\setbox2\hbox{${\mathaccent"0362{\kern0pt#1}}^H$}%
\ifdim\ht0=\ht2 #3\else #2\fi
}
%The bar will be moved to the right by a half of \macc@kerna, which is computed by amsmath:
\newcommand*\rel@kern[1]{\kern#1\dimexpr\macc@kerna}
%If there's a superscript following the bar, then no negative kern may follow the bar;
%an additional {} makes sure that the superscript is high enough in this case:
\newcommand*\widebar[1]{\@ifnextchar^{{\wide@bar{#1}{0}}}{\wide@bar{#1}{1}}}
%Use a separate algorithm for single symbols:
\newcommand*\wide@bar[2]{\if@single{#1}{\wide@bar@{#1}{#2}{1}}{\wide@bar@{#1}{#2}{2}}}
\newcommand*\wide@bar@[3]{%
\begingroup
\def\mathaccent##1##2{%
%Enable nesting of accents:
\let\mathaccent\save@mathaccent
%If there's more than a single symbol, use the first character instead (see below):
\if#32 \let\macc@nucleus\first@char \fi
%Determine the italic correction:
\setbox\z@\hbox{$\macc@style{\macc@nucleus}_{}$}%
\setbox\tw@\hbox{$\macc@style{\macc@nucleus}{}_{}$}%
\dimen@\wd\tw@
\advance\dimen@-\wd\z@
%Now \dimen@ is the italic correction of the symbol.
\divide\dimen@ 3
\@tempdima\wd\tw@
\advance\@tempdima-\scriptspace
%Now \@tempdima is the width of the symbol.
\divide\@tempdima 10
\advance\dimen@-\@tempdima
%Now \dimen@ = (italic correction / 3) - (Breite / 10)
\ifdim\dimen@>\z@ \dimen@0pt\fi
%The bar will be shortened in the case \dimen@<0 !
\rel@kern{0.6}\kern-\dimen@
\if#31
\overline{\rel@kern{-0.6}\kern\dimen@\macc@nucleus\rel@kern{0.4}\kern\dimen@}%
\advance\dimen@0.4\dimexpr\macc@kerna
%Place the combined final kern (-\dimen@) if it is >0 or if a superscript follows:
\let\final@kern#2%
\ifdim\dimen@<\z@ \let\final@kern1\fi
\if\final@kern1 \kern-\dimen@\fi
\else
\overline{\rel@kern{-0.6}\kern\dimen@#1}%
\fi
}%
\macc@depth\@ne
\let\math@bgroup\@empty \let\math@egroup\macc@set@skewchar
\mathsurround\z@ \frozen@everymath{\mathgroup\macc@group\relax}%
\macc@set@skewchar\relax
\let\mathaccentV\macc@nested@a
%The following initialises \macc@kerna and calls \mathaccent:
\if#31
\macc@nested@a\relax111{#1}%
\else
%If the argument consists of more than one symbol, and if the first token is
%a letter, use that letter for the computations:
\def\gobble@till@marker##1\endmarker{}%
\futurelet\first@char\gobble@till@marker#1\endmarker
\ifcat\noexpand\first@char A\else
\def\first@char{}%
\fi
\macc@nested@a\relax111{\first@char}%
\fi
\endgroup
}
\makeatother
%% End of code block for \widebar macro
\begin{document}
\[
\begin{aligned}
\mathscr F(\bar{r}(t))&=& \int_a^{b} L dt& =&\int_a^{b} \left[L \frac{dt}{d\tau}\right]d\tau=\\
=\int_a^{b} \Bigl[-mc^2-q\varphi\dfrac{1}{\sqrt{1-\dfrac{u^{2}}{c^{2}}}}+q\frac{\bar{u}\cdot \widebar{A}}{\sqrt{1-\dfrac{u^{2}}{c^{2}}}}\Bigr] d\tau=& &&&\\
=\int_a^{b} \left[-mc^2+q\,\boldsymbol{\mathcal{U}}\cdot \boldsymbol{\mathcal{A}}\right] d\tau&&&&\\
\end{aligned}
\]
\end{document}
I have this output:
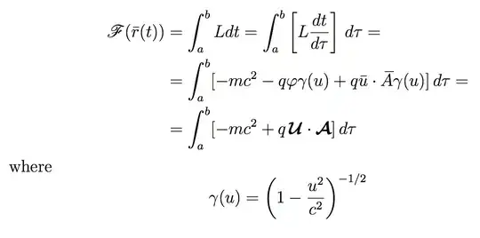
However, I would like to have the following alignment as the image below:
In the last few days I have done several tests but I have not succeeded. For other formulas the alignment on the left is very good. With this formula I can't do it.
Lastly, how can I improve the shape of the integral of the second line where the two green rectangles are highlighted? The square brackets do not respect the length of the integral symbol.






eqnarray. Use a single&per line, before the first=. – egreg Mar 01 '19 at 23:34=symbol both at the end of one line and at the start on the next line of a multiline equation is a common convention in some national typographic systems. – Mico Mar 02 '19 at 08:27\widebarmacro comes from this answer to the query Can I get a \widebar without using the mathabx package? – Mico Mar 02 '19 at 08:28=at the ends of lines 1 and 2 are "useless" is immaterial if they are there because the OP must conform to an Italian typographic convention. – Mico Mar 02 '19 at 08:56