I'm using the following packages:
\usepackage{mathrsfs}
\usepackage{mathtools}
\usepackage{amsmath,latexsym}
in order to write the following equation.
\begin{eqnarray*}
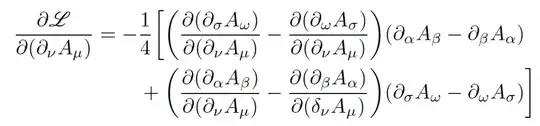
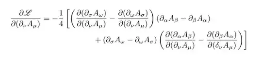
\frac{\partial\mathscr{L}}{\partial(\partial_\nu A_\mu)} =-\frac{1}{4} \left[
\left(\frac{\partial(\partial_\sigma A_\omega)}{\partial(\partial_\nu A_\mu)}
-\frac{\partial(\partial_\omega A_\sigma)}{\partial(\partial_\nu A_\mu)}\right)
(\partial_\alpha A_\beta-\partial_\beta A_\alpha)
+ (\partial_\sigma A_\omega - \partial_\omega A_\sigma)
\left(\frac{\partial(\partial_\alpha A_\beta)}{\partial(\partial_\nu A_\mu)}
-\frac{\partial(\partial_\beta A_\alpha)}{\partial(\delta_\nu A_\mu)}\right)
\right]
\end{eqnarray*}
The problem is that the equation is too long for a single line. When I try to break it on the "plus" sign, it no longer recognizes the last \right] command, and my brackets do not close. I Checked the code several times, it seems correct.
Any Ideas?



\left...\rightsyntax cannot be used across lines. Generally, try to use\big,\Big,\bigg, or\Bigginstead. – Steven B. Segletes Mar 05 '19 at 19:34latexsympackage. Instead, do load the much more completeamssymbpackage. – Mico Mar 05 '19 at 20:57eqnarrayandeqnarray*environments. Instead, usealignandalign*environments. See the posting eqnarray vs align and the additional links provided in the most-upvoted answer to that posting. – Mico Mar 05 '19 at 21:03