I am working on a document for school, trying to make some equations lines. However, the double dollar command for making equations omits the next line command.
$$
S(k+1) &= \sum(a[i]\cdot a[j] \mid i,j : 0\leq i\leq j < k + 1)\\
&=
$$
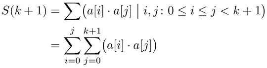
I would expect the equation to go to the next line and continue indentation from the = character, however the document shows me this:
I have tried disabling packages but this offers no solution.
When I started working in this document there were no issues, a few hours later it suddenly stopped working correctly.
Any help is very much appreciated.


$$should never be used in LaTeX. In your case, substitute them with\begin{align*}and\end{align*}respectively. – egreg Mar 11 '19 at 18:23