Stemming from a very similar question I asked previously, I was surprised to see the following symbol from the bbm package is not being scaled correctly.
The offending symbol
MWE
Based on this solution.
\documentclass[border=10]{standalone}
\usepackage{lmodern,amsmath,amssymb,bbm,bm,physics,nicefrac,fixcmex}
\begin{document}
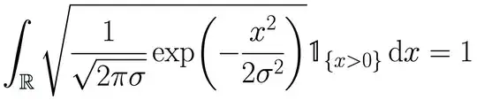
{\fontsize{50}{62.500000}{\rmfamily
$\displaystyle\int_\mathbb{R}^{} \sqrt{\dfrac{x}{\sqrt{2\pi\sigma}}
\exp(-\dfrac{x^2}{2\sigma^2})}\mathbbm{1}_{\{x > 0\}} \dd{x} = 1 $}}
\end{document}
Possibly relevant
- Change size of selected math alphabets (the details/solution are a bit beyond me)



dsfont. Thanks. – oliversm Mar 21 '19 at 18:37