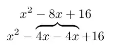
A proposal not using tikzmark.
\documentclass{article}
\usepackage{amsmath}
\usepackage{tikz}
\begin{document}
\[
\begin{array}{c}
x^2-\tikz[baseline,remember picture] \node[anchor=base,inner xsep=0pt] (1) {$8x$};+16\\[3em]
x^2-\tikz[baseline,remember picture] \node[anchor=base,inner xsep=0pt] (11) {$4x$};-\tikz[baseline,remember picture] \node[anchor=base,inner xsep=0pt] (12) {$4x$};+16
\end{array}
\]
\begin{tikzpicture}[remember picture,overlay]
\draw (1) to[out=-100,in=90] (11);
\draw (1) to[out=-80,in=90] (12);
\end{tikzpicture}
\end{document}

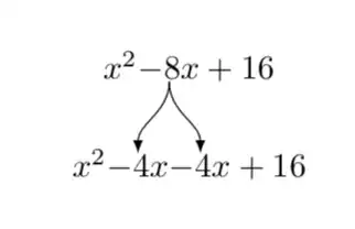
Some arrows will be great!
\documentclass{article}
\usepackage{amsmath}
\usepackage{tikz}
\begin{document}
\[
\begin{array}{c}
x^2-\tikz[baseline,remember picture] \node[anchor=base,inner xsep=0pt] (1) {$8x$};+16\\[3em]
x^2-\tikz[baseline,remember picture] \node[anchor=base,inner xsep=0pt] (11) {$4x$};-\tikz[baseline,remember picture] \node[anchor=base,inner xsep=0pt] (12) {$4x$};+16
\end{array}
\]
\begin{tikzpicture}[remember picture,overlay,>=stealth]
\draw[->] (1) to[out=-100,in=90] (11);
\draw[->] (1) to[out=-80,in=90] (12);
\end{tikzpicture}
\end{document}

tikzpicture. Useremember pictureTikZ option instead. – Mar 27 '19 at 17:57tikzmarklibrary for that. – Mar 27 '19 at 17:57