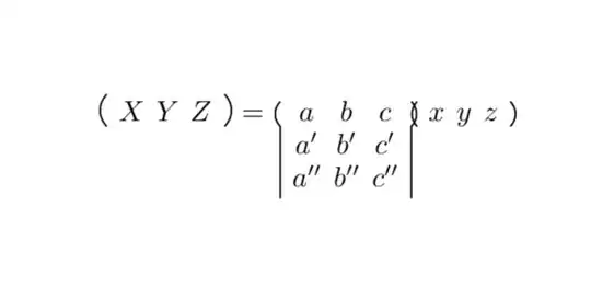
Cayley used the following notation in his original paper A Memoir on the Theory of Matrices 1
My attempt to reproduce the notation is shown below:
\documentclass{article}
\usepackage{amsmath,amssymb,graphicx}
\begin{document}
\scalebox{2.5}{\parbox{0.3\textwidth}{$$
\renewcommand\arraystretch{0}\setlength\arraycolsep{0pt}
(\mathrm{X}, \mathrm{Y}, \mathrm{Z}){=}\lower10pt\hbox{$\begin{array}{r@{}c@{,\mkern10mu}c @{,\mkern10mu}c@{,\mkern10mu}c l}
( &a &b & c & )\\
\lvert& a' &b' & c' &\rvert\\
\lvert& a'' & b'' & c'' & \rvert\\
\end{array}$}\mkern-6mu(x,y,z),
$$}}
\end{document}
As you will observe the delimiters need to be improved. Any suggestions?





$(1,2,3\between 4,5,6)$than$(1,2,3)\!( 4,5,6)$– David Carlisle Apr 25 '19 at 22:34\betweensee this image copied from that pdf, the overlapping brackets are not the same shape as the non-overlapping ones – David Carlisle Apr 26 '19 at 07:05\betweenis a better choice. – yannisl Apr 26 '19 at 07:12