1

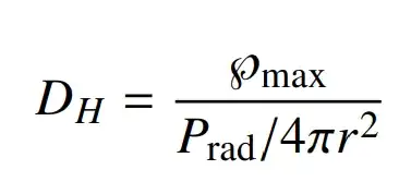
I'd like to write the following equation:

Image of a mathematical equation.

I don't know which symbol is used for the P in the numerator. I have tried \mathcal{}, \mathfrak{}, and \mathsrc{}, but it wasn't any of these.

Could someone also recommend notation to describe the power density vector?

Davislor
  • 44,045
Josemi
  • 266
  • 2
    Always try the Detexify website as described in this question/answer. https://tex.stackexchange.com/questions/485484 – James May 30 '19 at 18:36

3 Answers3

7

It is the notation for ‘Weierstraß' elliptic function’, called ‘Weierstraß P’, and obtained with the command \wp. It is in particular used for the parameterisation of elliptic cubic curves.

siracusa
  • 13,411
Bernard
  • 271,350
3

As correctly indicated to you by the excellent users @barbara beeton both @Bernard the symbol to use is \wp. If I can help you, I have also inserted a code where I have used the clone of Times New Roman both in mathematical mode and in text mode.

enter image description here

\documentclass[a4paper,12pt]{article}
\usepackage{amsmath,amssymb}
\usepackage{newtxtext,newtxmath}
\begin{document}
\[D_H=\frac{\wp_{\max}}{P_{\text{rad}}/4\pi r^2}\]
\end{document}
Sebastiano
  • 54,118
2

Additionally, the symbol ℘ for the Weierstrass elliptic function is in Unicode as U+2118. You can paste it directly into your source with unicode-math, of use \wp.

With legacy font packages, you can still define ℘ as \wp using newunicodechar (or inputenc).

Davislor
  • 44,045