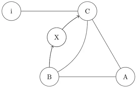
For the image and code below, how can I make the paths from B to X and from X to C fall exactly along the red path that's drawn from B to C?
I've managed to find the intersections of the red path and the node X, but I don't know how to find the angles into/out of X and C, and I don't know if setting something like tension would be needed even if I had the angles. Either doing something based on explicit calculations with the red path and node X or some more general / magic solution is fine.
Code:
\documentclass[margin=6]{standalone}
\usepackage{amsmath}
\usepackage{tikz}
\usetikzlibrary{positioning,calc}
\begin{document}
\begin{tikzpicture}[
thick,
every node/.style={
draw,
circle,
minimum size=1cm,
}
]
\def\sep{4cm}
\node (i) {i};
\node at ($(i) + (0:\sep)$) (C) {C};
\node at ($(C) + (-120:\sep)$) (B) {B};
\node at ($(C) + (-60:\sep)$) (A) {A};
\draw (i) -- (C);
\draw (C) to [bend left] (B);
\draw (B) -- (A);
\draw (C) -- (A);
% add a node
\path [draw,red] (B) to [bend left] node [black,midway] (X) {X} (C);
% but draw edges along the original (red) path
\draw [->,shorten >=2pt] (B) to [bend left] (X);
\draw [->,shorten >=2pt] (X) to [bend left] (C);
\end{tikzpicture}
\end{document}



\path [->,shorten >=2pt,draw,green,intersection segments={of=long arc and X circle,sequence={L-1}}];seems to diverge slightly from the original path, but I guess I can live with it. – tsj Oct 30 '19 at 18:08