I want to cross out sentences and equations. I used the solution given in Cross out words with overlapping to nearby words
\documentclass{article}\usepackage{xcolor} \usepackage[most]{tcolorbox}
\tikzset{crossout/.style={thick,red,shorten >=-.5cm,shorten <=-.5cm}}
\begin{document}
\tcbox[tcbox raise base,
breakable,nobeforeafter, enhanced jigsaw, opacityback=0, sharp corners, parbox=false, boxrule=0pt, top=0pt,bottom=0pt,left=0pt,right=0pt, boxsep=0pt, frame hidden, parbox=false,
finish={\draw[crossout] (frame.south west)--(frame.north east);\draw[crossout] (frame.south east)--(frame.north west);}]{
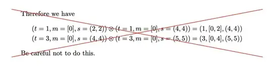
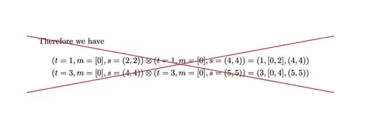
Therefore we have
\begin{align*}
(t=1, m=[0], s=(2,2)) \otimes (t=1, m=[0], s=(4,4)) &= (1, [0,2], (4,4)) \\
(t=3, m=[0], s=(4,4)) \otimes (t=3, m=[0], s=(5,5)) &= (3, [0,4], (5,5)) \\
\end{align*}
}
\end{document}
But it throws exception:
Missing \endgroup inserted.
<inserted text>
\endgroup
l.18 }
I've inserted something that you may have forgotten.
(See the <inserted text> above.)
With luck, this will get me unwedged. But if you
really didn't forget anything, try typing `2' now; then
my insertion and my current dilemma will both disappear.
name.tex, line 18
Missing } inserted.
<inserted text>
}
l.18 }
I've inserted something that you may have forgotten.
(See the <inserted text> above.)
With luck, this will get me unwedged. But if you
really didn't forget anything, try typing `2' now; then
my insertion and my current dilemma will both disappear.
name.tex, line 18
LaTeX Error: \begin{document} ended by \end{align*}.
See the LaTeX manual or LaTeX Companion for explanation.
Type H <return> for immediate help.
...
l.18 }
Your command was ignored.
Type I <command> <return> to replace it with another command,
or <return> to continue without it.



alignedinstead ofalign. – Nov 24 '19 at 11:03alignenvironment, this can be achieved much easier, you do not needtcolorboxfor that. You can also just use aminipagebut will of course losebreakablethen. – Nov 24 '19 at 11:43