Just for fun, here's an answer using LuaTeX that does the computation of the digits of e in Lua, without external data, and should be good for ~10000 digits at least. (Actually in principle the algorithm should work fine (just taking very long) for billions of digits or even millions of billions depending on how Lua is compiled, but you'll run out of patience and/or memory sooner.)
\documentclass{article}
\usepackage{luacode}
\begin{luacode}
-- Takes time ~n^2 to compute n digits. Tolerable until about n=10000.
function digits_e(n)
-- Spigot algorithm by Rabinowitz and Wagon:
-- http://www.cecm.sfu.ca/~jborwein/Expbook/Manuscript/Related%20files/spigot.pdf
-- The idea: Just as we can say that
-- e = 2 + (7, 1, 8, 2, 8, ...) in base (1/10, 1/10, 1/10, 1/10, 1/10, ...)
-- the fact that e = sum(1/k!) over k≥0 gives, in the same notation,
-- e = 2 + (1, 1, 1, 1, 1, ...) in base (1/2, 1/3, 1/4, 1/5, 1/6, 1/7, ...)
-- We convert to the decimal base by repeatedly multiplying by 10.
local len = n + 2
-- After k≥0 steps, fractional part of (e-2)10^k in base (1/2, 1/3, 1/4, ...)
local a = {}; for j = 1, len do a[j] = 1 end
tex.sprint('2.')
for k = 1, n do
local carry = 0 -- We're about to multiply by 10, right to left.
for i = len, 1, -1 do
local x = carry + 10 * a[i]
a[i] = math.fmod(x, i + 1)
carry = math.modf(x / (i + 1))
end
tex.sprint(carry)
if k % 1000 == 0 then print(string.format('Done %d digits', k)) end
if k % 3 == 0 then tex.sprint([[\hskip 1.66663pt plus 0.6pt\relax]]) end
end
end
\end{luacode}
\newcommand\napier[1]{\directlua{tex.sprint(digits_e(#1))}}
\begin{document}
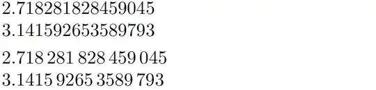
\napier{2}
\napier{18}
\napier{100} % Last 10 digits: ...525 166 427 4
\napier{1000} % Last 10 digits: ...957 035 035 4
\napier{10000} % Last 10 digits: ...946 553 678 8
\end{document}

The algorithm I repurposed from what I had used earlier for pi, though it's quite a bit simpler for e.
It's O(n^2) so a bit slow (takes a few seconds for 10000 digits). We can speed it up by a small constant factor (like 10) by multiplying by a power of 10 instead of by 10 itself. (See block in the second revision of this answer; reverted to keep the code clear and simple.)
The algorithm is simple enough (and uses only arithmetic on small numbers, of roughly the size of the number of digits requested) that I suspect it could even be implemented with TeX macros and sufficiently many registers. :-)
I tried to use \num from siunitx but it was hard to figure out how to typeset a long number without overfull box warnings and the like -- it seems that the package does not provide such a feature and it looks complicated. Eventually gave up and wrote \hskip manually into the Lua code. :-)
e, like have\nepero{10}print2.7182828459? – Phelype Oleinik Jan 04 '20 at 21:1118between2.71828and28459... :-) – Mico Jan 04 '20 at 23:17\documentclass{standalone} \usepackage{siunitx} \begin{document} \num[round-mode=places, round-precision=5]{2.71828182845904523536028747135266249775724709369995957496696762772407663035354759457138217852516642742746639193200305992181741359662904357290033429526059563073813232862794349076323382988075319525101901157383418793070215408914993} \end{document}– Oleg Lobachev Jan 04 '20 at 23:292.) – Mico Jan 05 '20 at 12:23eand is called Euler's number, while in Italy it is also called Napier's number. :-). You can see on Wikipedia: https://it.wikipedia.org/wiki/E_(costante_matematica) – Sebastiano Jan 05 '20 at 12:43