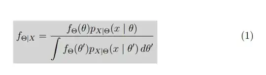
I am trying to write this:
Using
$$p_{\Theta | X} = \frac{f_{\Theta}(\theta) p_{X|\Theta}(x\,|\,\theta)}{\int f_{\Theta}(\theta ') p_{X|\Theta}(x\,|\,\theta ') \, d\theta '}$$
However, what I get is this instead:
The integral sign does not come out right. Please help.




\midinstead of\,|\,. – Mico Jan 14 '20 at 04:32\,|\,. – J. Doe Jan 14 '20 at 04:41\sum, again what you show is the standard layout, not wrong, although other layouts could be chosen. – David Carlisle Jan 14 '20 at 07:55