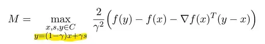
I'm trying to replicate this formula:
Could you please help me put y=(1-\gamma)x+\gamma x as in the picture?
My attempt: M=\max _{x, s, y \in C} \frac{2}{\gamma^{2}}\left(f(y)-f(x)-\nabla f(x)^{T}(y-x)\right)
Thank you so much!
I'm trying to replicate this formula:
Could you please help me put y=(1-\gamma)x+\gamma x as in the picture?
My attempt: M=\max _{x, s, y \in C} \frac{2}{\gamma^{2}}\left(f(y)-f(x)-\nabla f(x)^{T}(y-x)\right)
Thank you so much!
Use \substack.
\documentclass{article}
\usepackage{amsmath}
\begin{document}
\[
M=\max _{\substack{x, s, y \in C\\y=(1-\gamma)x +\gamma s}}
\frac{2}{\gamma^{2}}\left(f(y)-f(x)-\nabla f(x)^{T}(y-x)\right)
\]
\end{document}
Another option from amsmath is the \overset{above}{below} macro. There is a caveat, though, you have to explicitely add \scriptstyle to the first argument.
\documentclass{article}
\usepackage{amsmath}
\begin{document}
\[
M=\max_{\overset{\scriptstyle x, s, y\in C}{y=(1-\gamma)x+\gamma s}}
\frac{2}{\gamma^2} \left(f(y)-f(x)-\nabla f(x)^T(y-x)\right)
\]
\end{document}
x, s, y \in C is smaller than y=(1-\gamma)x +\gamma s :(
– Akira
Mar 02 '20 at 20:28
\scriptstyle. I edited my answer.
– AboAmmar
Mar 02 '20 at 21:53
\mathclapfor the second line of the substack would look better, typographically? – Bernard Mar 02 '20 at 20:44\mathclapto the second line as well; however, the result isn't great as the\gamma sterm ends up almost touching the\gamma^2term in the fraction. – Mico Mar 02 '20 at 20:47\mathclapdoesn't look too hot. – Steven B. Segletes Mar 02 '20 at 20:47\:on each side of the first line, I find it OK – Bernard Mar 02 '20 at 20:49