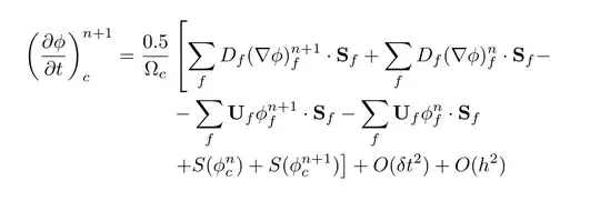
when I split \left[ and \right] in the align environment and use breqn the equation doesn't compile. When I add \left. and \right. as virtual left and right delimiters, it works, but the \right] bracket does not have the right size.
Here is the minimal example:
\documentclass{minimal}
\usepackage{amsmath}
\usepackage{amssymb}
\usepackage{mathtools}
\usepackage{breqn}
\newcommand{\Sf}{\mathbf{S}_f}
\newcommand{\gradphi}[1]{(\nabla\phi)_{#1}}
\newcommand{\U}{\mathbf{U}}
\begin{document}
\begin{align}
\left(\frac{\partial \phi}{\partial t}\right)_c^{n+1} =
\dfrac{0.5}{\Omega_c} & \left[ \sum_f D_f \gradphi{f}^{n+1} \cdot \Sf + \sum_f D_f \gradphi{f}^n \cdot \Sf - \right. \nonumber \\
& - \sum_f \U_f \phi_f^{n+1} \cdot \Sf - \sum_f \U_f \phi_f^{n} \cdot \Sf \nonumber \\
& \left. + S(\phi_c^n) + S(\phi_c^{n+1}) \right] + O(\delta t^2) + O(h^2)
\label{eq:phicrank}
\end{align}
\end{document}
and it generates this:
How can I obtain the right size for the bracket in the \right] command? Thanks!



\left\rightand use\Biggl[and\Biggr]choosing a suitable big variant name, then the issue does not arise. – David Carlisle Mar 16 '20 at 16:09