1

Is there a way to get rid of those Eastern Arabic numerals (Arabic-Hindu) in page, section and theorem numbering when I type in arabic with LyX ? I just want have arabic numerals instead.

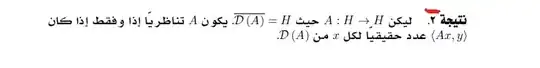
enter image description here


enter image description here

Here is my preamble :

 %% LyX 2.3.3 created this file.  For more info, see http://www.lyx.org/.
%% Do not edit unless you really know what you are doing.
\documentclass[a4paper]{arabart}
\usepackage[T1,LAE]{fontenc}
\usepackage[utf8]{inputenc}
\usepackage{microtype}

\makeatletter

%%%%%%%%%%%%%%%%%%%%%%%%%%%%%% LyX specific LaTeX commands.
\pdfpageheight\paperheight
\pdfpagewidth\paperwidth


\@ifundefined{date}{}{\date{}}
\makeatother

\usepackage[arabic]{babel}
  • Can you post a minimal example .lyx and .tex files? Please read this: https://wiki.lyx.org/FAQ/MinimalExample – scottkosty Apr 12 '20 at 12:58
  • By default, when typing in arabic in latex you got those eastern numerals (peculiar to middle eastern countries) when numbering pages, sections and theroems. North africans on the contrary use those arabic numerals we all know. I am looking for any way that helps me to use arabic numerals instead. – Hamza Nouar Apr 12 '20 at 13:14
  • You may be facing a similar issue to what someone else faced with incomplete support of the Bengali language, particularly referencing numerals as well, and complaining about the manner in which Arabic is defined. Take a look here: https://tex.stackexchange.com/questions/300070/adding-full-non-english-unicode-language-bengali-support-to-polyglossia – Polyhat Apr 12 '20 at 19:07
  • @HamzaNouar If lualatex is an option, I would use it. See examples in https://github.com/latex3/babel/tree/master/samples . – Javier Bezos Apr 13 '20 at 08:26

0 Answers0