All the ways I see to align things in math mode have you set columns, but I only care about where a line of math starts. I want to be able to write something like:
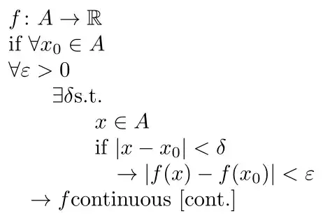
f:A\to \mathbb{R}\\ % indent 0
if \all x_0\in A\\ % indent 0
\all \varepsilon>0\\ % indent 2
\exists \delta s.t.\\ % indent 4
x\in A\\ % indent 6
if |x-x_0|<\delta\\ % indent 6
\to|f(x)-f(x_0)|<\varepsilon\\ % indent 7
\to f \text{continuous [cont.]} % indent 1
The multiline environment allows me to do multiple lines, but I cannot indent without defining columns which is not what I want (the end of the line should go arbitrarily far). Bonus points if the indentation level defaults to that of the previous line.


