To add to this post to get display-style repetitions---
\documentclass{article}
\usepackage{amsmath}
\makeatletter
%% The basic form (https://tex.stackexchange.com/a/75920/146828)
\newcommand{\repeatable}[2]{%
\label{#1}\global@namedef{repeatable@#1}{#2}#2
}
%% In-line style (https://tex.stackexchange.com/a/75920/146828)
\newcommand{\eqrepeat}[1]{%
@ifundefined{repeatable@#1}
{$nothing$ (?)}
{$@nameuse{repeatable@#1}$ \eqref{#1}}}
%% Display-style (slight modification of the above)
\newcommand{\eqrepalign}[1]{%
@ifundefined{repeatable@#1}{
\begin{align}
No; such; equation \tag{?}
\end{align}
}{%
\begin{align}
@nameuse{repeatable@#1} \tag{\ref{#1}}
\end{align}
}%
}
\makeatother
\begin{document}
\noindent
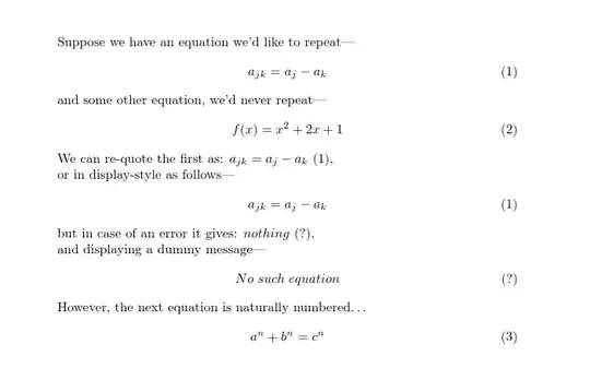
Suppose we have an equation we'd like to repeat---
%
\begin{align} \repeatable{eq:good}{
a_{jk} = a_{j} - a_{k} }
\end{align}
%
and some other equation, we'd never repeat---
%
\begin{align}
f(x) = x^2 + 2x + 1
\end{align}
%
We can re-quote the first as: \eqrepeat{eq:good},\
or in display-style as follows---
%
\eqrepalign{eq:good}
%
but in case of an error it gives: \eqrepeat{eq:bad},\
and displaying a dummy message---
%
\eqrepalign{eq:bad}
%
%
%
However, the next equation is naturally numbered\ldots
%
\begin{align}
a^n + b^n = c^n
\end{align}
%
\end{document}
to get an output that looks like--
