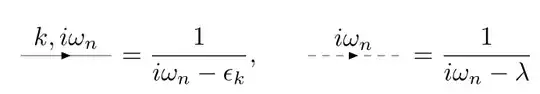
Consider the following code:
\documentclass{article}
\usepackage{amsmath} % math
\usepackage{amssymb} % math
\usepackage{amsthm}
\usepackage{graphicx} % to use \includegraphics{}
\usepackage{tikz}
\usepackage{tikz-feynman}
\begin{document}
%propagator line
\begin{equation}
\begin{tikzpicture}[baseline=(current bounding box.center)]
\begin{feynman}
\vertex (a);
\vertex[right= of a] (b);
\diagram{
(a) --[fermion, edge label=${k, i\omega_n}$] (b)
};
\end{feynman}
\end{tikzpicture}=\frac{1}{i\omega_n -\epsilon_k}, \quad \begin{tikzpicture}[baseline=(current bounding box.center)]
\begin{feynman}
\vertex (a);
\vertex[right= of a] (b);
\diagram{
(a) --[charged scalar, edge label=${i\omega_n}$] (b)
};
\end{feynman}
\end{tikzpicture}=\frac{1}{i\omega_n -\lambda}.
\end{equation}
\end{document}
I want to align the lines such that it is at the middle of the = sign. How can I do this?




