0

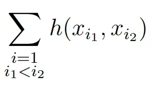
Can anyone give me the latex code for writing a condition under the subscript of sum as in the following image?enter image description here

reeba
  • 1

1 Answers1

1

Welcome to the TeX.SE. Here there is a short code for your request. The original font seem be Cambria Math.

\documentclass[a4paper,12pt]{article}
\usepackage{amsmath}
\begin{document}
\[
\sum_{\substack{i=1 \\ i_1<i_2}}h(x_{i_1},x_{i_2}) \]
\end{document}

enter image description here

Sebastiano
  • 54,118