The thickness of brackets can be specified in the first optional argument of \underbracket and \overbracket. The default thickness is the height of $\braceld$ (in current math font).
\documentclass{article}
\usepackage{mathtools}
\begin{document}
\[
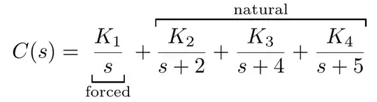
C(s) =
% use 0.5 thickness
\underbracket[.5pt]{\frac{K_1}{s}}_{\text{forced}} +
% use default thickness
\underbracket{\frac{K_2}{s+2}+\frac{K_3}{s+4}+\frac{K_4}{s+5}}_{\text{natural}}
\]
\end{document}

You can also change the thickness of brackets once for all:
\documentclass{article}
\usepackage{mathtools}
\usepackage{xpatch}
% change default thickness of brackets to .6pt
\MHInternalSyntaxOn
\xpatchcmd\upbracketfill
{\sbox\z@{$\braceld$}\edef\l_MT_bracketheight_fdim{\the\ht\z@}}
{\edef\l_MT_bracketheight_fdim{.6pt}}
{}{\fail}
\xpatchcmd\downbracketfill
{\sbox\z@{$\braceld$}\edef\l_MT_bracketheight_fdim{\the\ht\z@}}
{\edef\l_MT_bracketheight_fdim{.6pt}}
{}{\fail}
\MHInternalSyntaxOff
\begin{document}
[
C(s) =
\underbracket{\frac{K_1}{s}}_{\text{forced}} +
\overbracket{\frac{K_2}{s+2}+\frac{K_3}{s+4}+\frac{K_4}{s+5}}^{\text{natural}}
]
\end{document}

\fontdimen8\textfont3) which would fall in your “anorexic” category. – Henri Menke Aug 18 '20 at 04:51\underbracketis entirely correct, but it doesn't acutally use the default rulethickness that is defined in the font. The value of\fontdimen8\textfont3is for instance used to draw the fraction bar and is the default height of\hrule. – Henri Menke Aug 18 '20 at 05:07mathtoolsand am usingbeamer. I do have many other packages loaded. Can you think of a potential incompatibility? Many thanks! – PatrickT Apr 29 '22 at 05:39\underbracketcommand... Not to worry, thanks for your reply! – PatrickT Apr 29 '22 at 21:10