How can I write this notation in LaTeX?
- 1,028
- 181
-
What is the meaning of this notation? – projetmbc Nov 25 '20 at 08:09
3 Answers
You can construct this symbol using a mixture of \angle (from amssymb) and \longrightarrow together with a combination of \ooalign and \mathpalette.
\documentclass{article}
\usepackage{amssymb}
\makeatletter
\newcommand{\angleto}{\mathpalette\angleto@\relax}
\newcommand{\angleto@}[2]{\mathrel{\ooalign{$#1\hidewidth\angle\hidewidth$\cr$#1\longrightarrow$}}}
\makeatother
\begin{document}
$z \angleto \zeta_{z \angleto \zeta_{z \angleto \zeta}}$
\end{document}
- 603,163
-
1
-
@projetmbc:
\mathpalettetakes two arguments and I need that to allow different sizes of operators within different styles, so I had to create an intermediary macro to handle the use of\mathpalette. – Werner Nov 25 '20 at 17:36
Like that:
\documentclass{article}
\usepackage{mathtools}
\begin{document}
$z\mathrel{\rlap{\;\angle}{\longrightarrow}}\zeta\lowercase{o}$
\end{document}
- 6,655
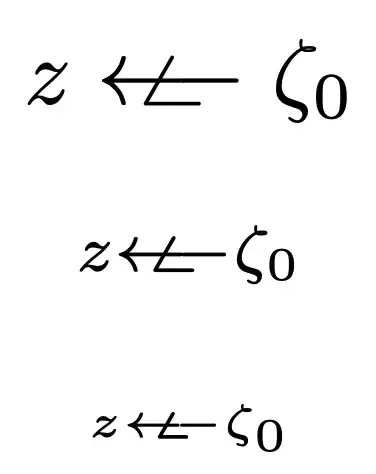
A sixty degree angle:
\documentclass{article}
\usepackage{amsmath,pict2e}
\makeatletter
\newcommand{\angledto}{\mathrel{\mathpalette\angled@arrow\longrightarrow}}
\newcommand{\angledgets}{\mathrel{\mathpalette\angled@arrow\longleftarrow}}
\newcommand{\angled@arrow}[2]{%
\vphantom{#1\rightarrow}%
\ooalign{\hidewidth\angled@angle{#1}\hidewidth\cr$\m@th#1#2$\cr}%
}
\newcommand{\angled@angle}[1]{%
$\m@th#1\vcenter{\hbox{%
\sbox\z@{$#1\mathstrut$}%
\setlength{\unitlength}{0.5\dimexpr\ht\z@+\dp\z@}% adjust the factor
\begin{picture}(1.1547,1)
\roundcap
\roundjoin
\Line(0.57735,1)(0,0)(1.1547,0)
\end{picture}%
}}$%
}
\makeatother
\begin{document}
[
z\angledto \zeta_0
]
[
\scriptstyle z\angledto \zeta_0
]
[
\scriptscriptstyle z\angledto \zeta_0
]
\end{document}
Here's with \angledgets
It wouldn't be difficult to reverse the angle, if requested.
- 1,121,712




