I consider myself a recovering user of \left...\right and stumbled onto this issue today. I have a \virtualparens command that puts light gray parentheses around its argument. I can provide optional delimiter sizes (\big, \bigg, etc.). I noticed that when I provide \biggl no error occurs and I don't understand why. I would think \biggl requires a paired \biggr but I think this answer (https://tex.stackexchange.com/a/295041/218142) explains why. I don't fully understand the argument there, but it appears that \biggl merely indicates sizing information and doesn't "know" what the delimiter is. Is that correct?
Also, if there is a better way to to handle the optional sizing arguments I am open to using it.
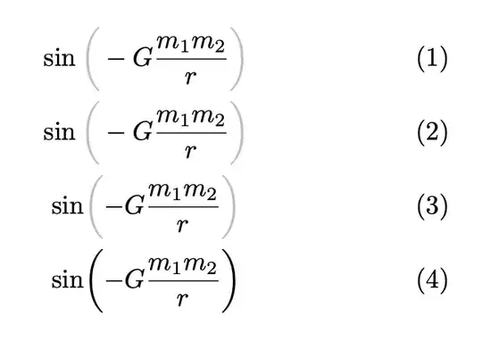
Here is my MWE:
% !TEX TS-program = lualatexmk
% !TEX encoding = UTF-8 Unicode
\documentclass{article}
\usepackage{amsmath}
\usepackage{xcolor}
\NewDocumentCommand{\virtualparens}{ O{} m }{%
\textcolor{lightgray}{#1(}#2\textcolor{lightgray}{#1)}
}%
\begin{document}
[
\virtualparens[\biggl]{-G\frac{m_1 m_2}{r}}
]
\end{document}
Here is the output:


\biggland\biggrare not defined as a linked pair, so they can be used to match sizes of fences where\leftand\rightwould result in an error, such as in different cells of a table, or on opposite sides of an aligned relation. Therefore the user has to be careful to specify the correct directionality for each such command on input. – barbara beeton Dec 21 '20 at 01:57