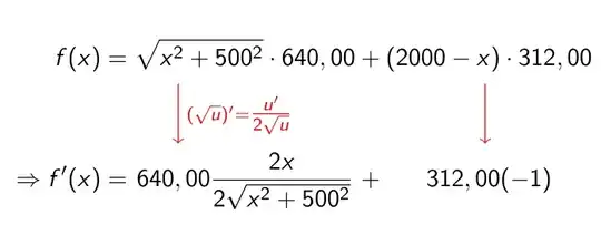
I would like to place a text next to an arrow. The figure below shows how I would like it to look. I tried to use the commands ^ and _ and also \hspace and \vspace, but it is not getting the way you want. Maybe there is a command like \overbrace or \underbrace that helps me, but I don't know it.
My code:
\documentclass{beamer}
\usepackage{tikz}
\usetikzlibrary{arrows.meta}
\newcommand\myarrow{%
\tikz\draw[red,dashed,thick,-Triangle] (0,0) -- ++(0,-1.1);
}
\begin{document}
\begin{frame}
$\begin{array}{cccccc}
& f(x) & = & \sqrt{x^2 + 500^2} \cdot 640,00 & + & (2000 - x) \cdot 312,00\\
& & & & & \\
& & & \myarrow_{\color{red}(\sqrt{x})' = \frac{1}{2\sqrt{x}}} & & \myarrow \\
& & & & & \\
\Rightarrow & f'(x) & = & 640,00\frac{1}{2\sqrt{x^2 + 500^2}}2x & + & 312,00(-1)
\end{array} $
\end{frame}
\end{document}
The result is:
I need this derivative to be higher. Another way I tried was to put it to the side as text, but the \tiny and \small commands are not working.
PS: I have already asked some questions about how to do some commands for a presentation, I am trying to look for the answers, but I believe that they are not trivial things and are difficult to find on the net.



