I would like to typeset the absolute value of a fraction, e. g.
with absolute value bars that are shorter at the bottom, like in
Is there any way in LaTeX to achieve this rather than the first example?
Details:
I am calculating the angle between two lines in three-dimensional space with the following formula:
This looks really nice. But when I now substitute the coordinates of the vectors like this:
\cos\phi=\left|\frac{
\begin{pmatrix}1\\1\\1\end{pmatrix}
\circ
\begin{pmatrix}1\\2\\3\end{pmatrix}
}{
\sqrt3\cdot\sqrt{1^2+2^2+3^2}
}\right|
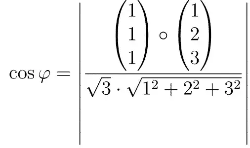
I get the following result:
Yuck! There is way too much space below the fraction inside the absoulte value bars!
I already tried using \Biggl| and \Biggr:
\cos\phi=\Biggl|\frac{
\begin{pmatrix}1\\1\\1\end{pmatrix}
\circ
\begin{pmatrix}1\\2\\3\end{pmatrix}
}{
\sqrt3\cdot\sqrt{1^2+2^2+3^2}
}\Biggr|
but that only yields a somewhat acceptable, but slightly incorrect result:

