I have two equations, one of which is very long. I would like to have a single alignment, at the = sign. At the same time, I would like to split the long equation into multiple lines. I have tried to use multlined, but I am not able to obtain the desired result.
Here is a minimal working example:
\documentclass[12pt]{amsart}
\usepackage{mathtools}
\begin{document}
\begin{align}
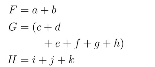
F &= a + b\
G &= \begin{multlined}[b](c + d\
{} + e + f + g + h)
\end{multlined}
\end{align}
\end{document}
It typesets as shown below:
I am aware of this question, yet the presence of G before the alignment point makes its solution not directly applicable to my case.


[b]with[t]? – leandriis Mar 17 '21 at 09:19aligned,gathered,multlinedetc environments take an optional argument to let users specify the vertical alignment relative to the surrounding material. These options aret(top),c(center -- the default), andb(bottom). – Mico Mar 17 '21 at 09:27